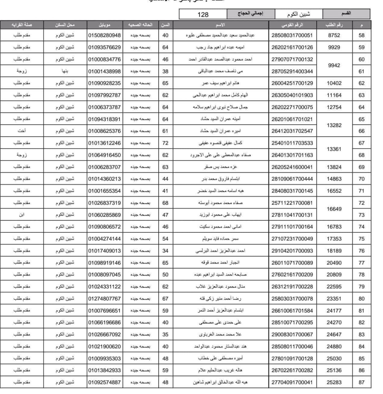
نتيجة قرعة الحج في المنوفية.. اعرف هل اسمك بينهم؟
أعلنت مديرية أمن المنوفية الفائزين في قرعة الحج العلنية وذلك عقب اجراء القرعة العلنية في استاد شبين الكوم بالصالة المغطاة.
واعلنت المديرية فوز 1526شخصا موزعين علي 9 مراكز بالمحافظة وهم “ شبين الكوم، السادات، منوف، قويسنا، بركة السبع، الباجور، تلا، الشهداء”.
وسادت الفرحة بين الفائزين بالقرعة العلنية حيث استقبلوا خبر فوزهم بالزغاريد والفرحة والسجود لله والشكر له.
كما اعلنت مديرية الامن عدد الناجحين بالتزكية من كبار السن بلغ 16 فائزا.












































































